09:00, 30.09.2025 — Мировые рынки, Зерновые, Корма
автор: Европейская комиссия

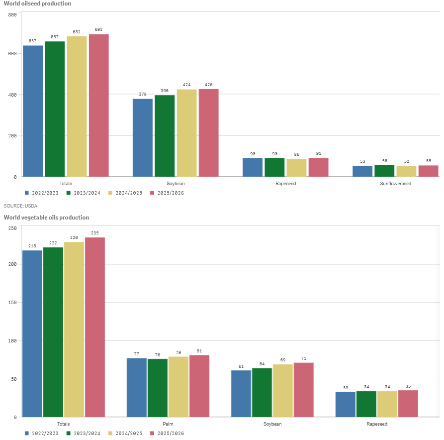
ЕС. Обзор рынка зерна и масличных на 26.09.25 г.



Обсуждение

Для того, чтобы оставить комментарий вам нужно зарегистрироваться или авторизоваться.
Последние публикации в разделе
Популярное за неделю

Подпишись в соц.сетях!
на 2025-10-26
Регион Закуп. Изм. Прод. Изм.
ЦФО
39000.00 + 200 39500.00 + 200
ПФО
38000.00 + 500 38500.00 + 200
СКФО
41000.00 + 0 42900.00 - 100
ЮФО
41000.00 + 0 42500.00 - 300
СФО
37000.00 + 0 38000.00 + 0
на 2025-10-26
Регион Закуп. Изм. Прод. Изм.
ЦФО
94500.00 + 900 95000.00 + 500
ЮФО
96500.00 + 900 97000.00 + 1200
ПФО
95000.00 + 1300 95500.00 + 1000
СФО
93000.00 + 1000 93500.00 + 900

Сводная таблица по зарубежным индексам

Сравнение котировок

Мировые балансы


Выберите регион
все страны и регионы