Аналитика цен по регионам на 14.01.2026
17:35 — Внутренний рынок
09:00, 02.12.2025 — Мировые рынки
OilWorld.RU

ЕС. Обзор рынка масличных и масла на 24.11.25 г.



Обсуждение

Для того, чтобы оставить комментарий вам нужно зарегистрироваться или авторизоваться.
Последние публикации в разделе
Аналитика цен по регионам на 14.01.2026
17:35 — Внутренний рынок

Подпишись в соц.сетях!
на 2025-12-27
Регион Закуп. Изм. Прод. Изм.
ЦФО
39750.00 - 50 39950.00 - 50
ПФО
37800.00 + 0 38400.00 - 100
СКФО
41300.00 - 200 41900.00 - 100
ЮФО
40400.00 - 100 41000.00 + 0
СФО
35000.00 + 0 37500.00 + 0
на 2025-12-27
Регион Закуп. Изм. Прод. Изм.
ЦФО
92400.00 - 100 93200.00 - 300
ЮФО
93000.00 - 200 94000.00 + 0
ПФО
92000.00 + 0 92800.00 - 200
СФО
89000.00 + 0 90500.00 - 500

Сводная таблица по зарубежным индексам

Сравнение котировок

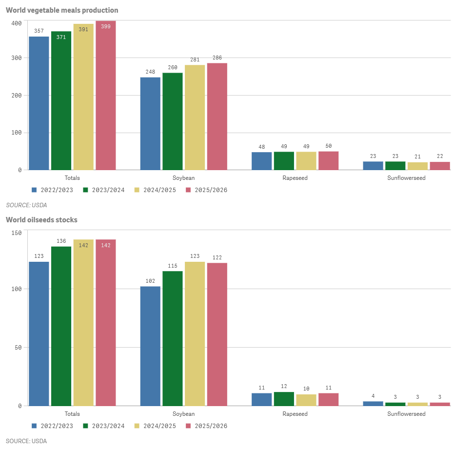
Мировые балансы


Выберите регион
все страны и регионы